各区县局
| [ 索引号 ] | 11500000MB1539761Y/2021-00114 | [ 发文字号 ] | |
| [ 主题分类 ] | 市场监管、安全生产监管 | [ 体裁分类 ] | 结果查询、公示 |
| [ 发布机构 ] | 重庆市南川区市场监督管理局 | ||
| [ 成文日期 ] | 2020-04-30 | [ 发布日期 ] | 2020-04-30 |
| [ 索引号 ] | 11500000MB1539761Y/2021-00114 |
| [ 发文字号 ] | |
| [ 主题分类 ] | 市场监管、安全生产监管 |
| [ 体裁分类 ] | 结果查询、公示 |
| [ 发布机构 ] | 重庆市南川区市场监督管理局 |
| [ 发布日期 ] | 2020-04-30 |
| [ 成文日期 ] | 2020-04-30 |
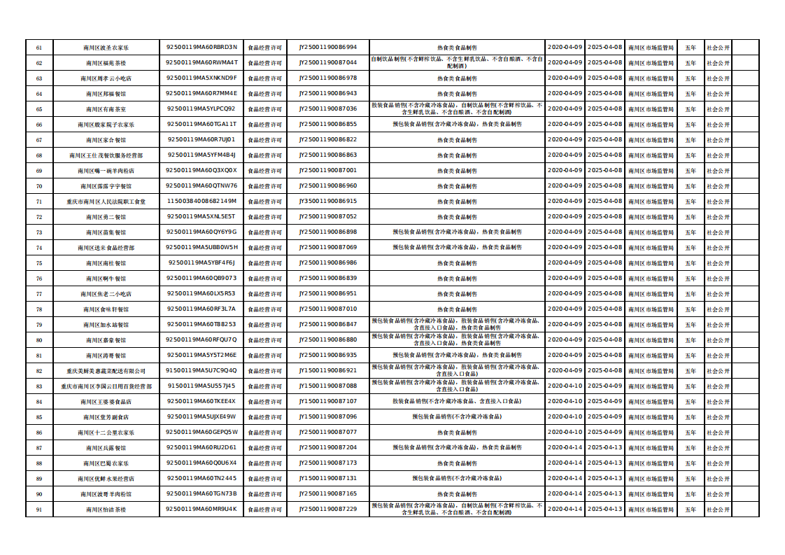
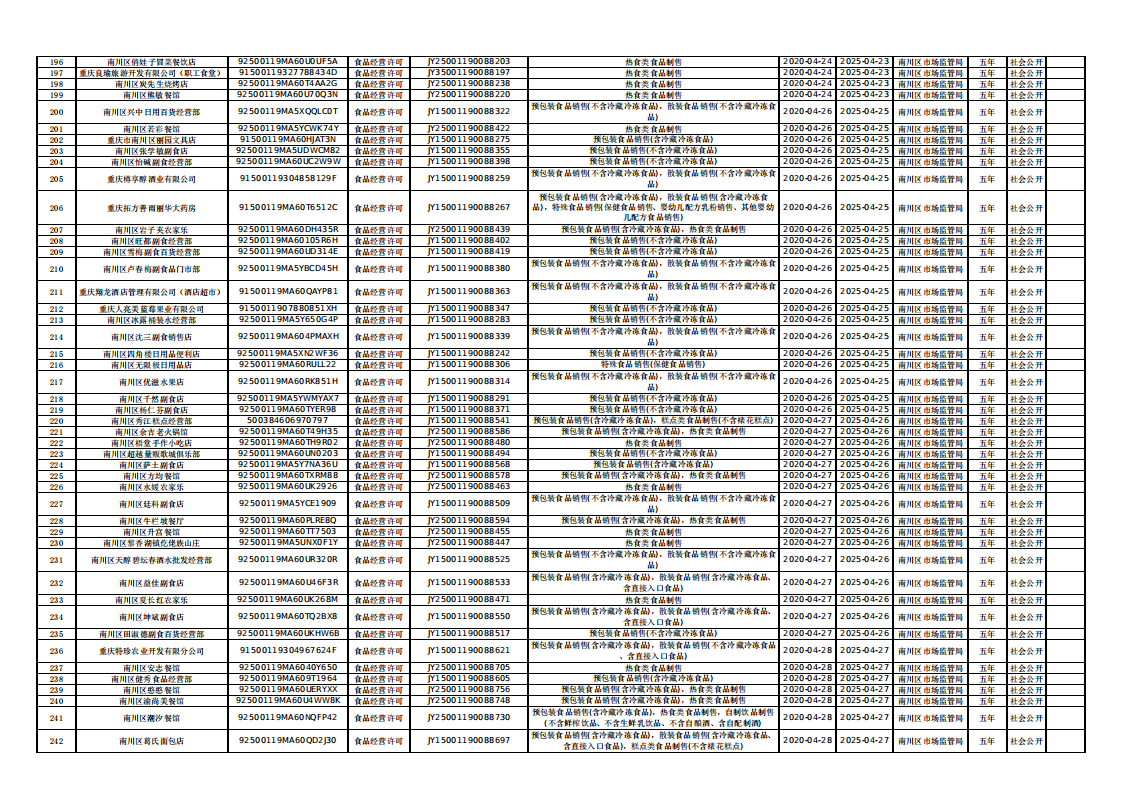
2020年4月南川区市场监管局食品行政许可信息








